Erin Troland

Erin Troland

Principal Economist
Federal Reserve Board of Governors

I study inequality, focusing on local public finance and rental housing. Recently, I have been working on property taxation, renter financial well-being, and intergenerational wealth.

 ·  Curriculum Vitae

The views expressed here are my own and do not represent the views of the Federal Reserve Board.

The Role of Property Assessment Oversight in School Finance Inequality
with Alex Combs and John Foster
National Tax Journal (forthcoming 2026)
Inequality in school funding can stem from reliance on local property taxes. While reforms address property value and tax rate disparities, assessment accuracy remains underexamined. We study a property assessment intervention to show how assessments affect school finance inequality. Using difference-in-differences, we find that state oversight reduced underassessment and inequitable assessment variability. Assessed values rose by 42 percent and variability fell by 26 percent. The intervention raised local revenue (particularly in districts unable to freely lower tax rates), reduced state aid that was subsidizing underassessment, and narrowed the revenue gap between rich and poor districts by 15 percent ($63 per pupil). Our findings show the importance of accurate assessments and state assessment oversight for school funding inequality.
Key result figure Assessment Oversight
Figure 2B: Propery reassessment intervention reduced variability in ratio of assessed value to sales price (coefficient of dispersion).
The Canary in the Coal Decline: Appalachian Household Finance and the Transition from Fossil Fuels
with Joshua Blonz and Brigitte Roth Tran
Journal of Financial Economics (2026)
We use individual-level credit data to study how recent declines in Appalachian coal mining affected household finances between 2011 and 2018. Using exogenous variation in electricity sector demand for coal, we find de- clines in coal demand decreased credit scores and increased financial distress within two years of coal shocks. These effects cannot be explained solely by job losses in coal mine worker households. Credit score declines and financial distress were largest among older individuals and people with lower-middle credit scores. Our results suggest the transition away from fossil fuels may impose meaningful costs on other fossil fuel extraction communities.
Key result figure Canary
Figure 6B: One year change in coal demand increases share of subprime borrowers for 3 years(credit score<660).
Targeted Relief: Geography of Emergency Rental Assistance Funds
with Theodore Figinski, Sydney Keenan, and Richard Sweeney
National Tax Journal (2025)
In response to the COVID-19 pandemic, Congress established the Emergency Rental Assis- tance (ERA) program, which provided nearly $45 billion to prevent evictions and increase housing stability. Using administrative data on ERA transactions, we find that ERA sent more funds per renting household to census tracts with higher prepandemic eviction filing rates, higher rent-to-income ratios, higher poverty rates, higher shares of Black renting householders, higher shares of renting households with children, and higher shares of renting single moth- ers. Our results suggest that ERA was largely successful in reaching communities that were most likely to have the highest risk of eviction.
Key result figure Targeted Relief
Figure 1: ERA funds were targeted at census tracts with higher pre-pandemic eviction filings.
Health Insurance and Hospital Supply: Evidence from 1950s Coal Country
with Theodore Figinski
American Journal of Health Economics (2025)
Large-scale health insurance expansions can improve individual outcomes and increase the availability of health-care services in underserved areas. We explore the effects of a large health-care program in 1950s Appalachia. The program insured hundreds of thousands of coal mining families and built new, high-quality hospitals in the area. We can separately identify the effect of health insurance from the combined effect of the insurance plus new hospitals. We use difference-in-differences to analyze effects on health-care access and health outcomes. The insurance alone increased hospital birth rates by 3 percent and re- duced infant mortality by 2 percent in the average county (over 25 percent of the gap be- tween Appalachia and the rest of the United States). The combination of the insurance and new hospitals increased hospital beds by 80 percent and crowd-out was limited, but results on infant mortality are inconclusive. Our results are consistent with the idea that a large insurance expansion can increase health access and improve health outcomes for certain types of basic care. However, a large insurance expansion alone may not be enough to spur investment in more advanced care that is less likely to be available in underserved areas.
Key result figure Health Insurance Hospital Supply
Figure 3A: Health insurance intervention increases hospital birth rates by 3 percent for the average treated county
Bringing Health Care to Appalachia: The Long-Run Impact of a Rural Health Care System
with Theodore Figinski
Economic Development Quarterly (2021)
The U.S. government has supported rural hospitals through direct subsidies and staff recruitment programs. However, little is known about the long-run impact of large-scale changes to rural health care. The authors explore the long-run trajectory of Appalachian counties where a coal mining union introduced a pioneering rural health care program in the 1950s, anchored by a chain of high-quality hospitals. Hospital beds per capita in counties where the union built its hospitals are persistently high through 2006, even when compared to similar counties and accounting for a variety of supply- and demand-side factors. In particular, union counties defied a national hospital consolidation trend starting in the 1980s. Results are consistent with a supply-side explanation where the scale and/or innovation of the union’s investment allowed hospital markets to thrive and attract patients from a broad geography
Key result figure Long Run Rural Health Care System
Figure 5: Persistent long term increase in hospital beds in counties with mining union hospitals
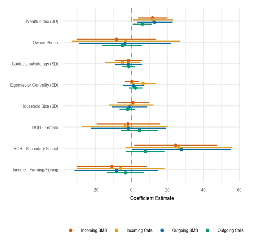
Connecting Isolated Communities: Quantitative Evidence on the Adoption of Community Cellular Networks in the Philippines
Niall Keleher, Mary Claire Barela, Joshua Blumenstock, Cedric Festin, Matthew Podolsky, Arman Rezaee, Erin Troland, Kurtis Heimerl
Proceedings of the Eleventh International Conference on Information and Communication Technologies and Development (2020)
What determines the success of community cellular networks? We leverage unique circumstances where all households in seven localities were interviewed before the launch of cellular networks. We observed substantial differences in network adoption across communities. Four communities displayed high and regular usage, while usage dissipated shortly after the network launch in three sites. Sixty-five percent of households made or received at least one call or text message. We find that a one standard deviation increase in household wealth is correlated with a three percentage point increase in network adoption and 43 additional cellular network transactions. Agricultural households were ten percentage points more likely to adopt the network than other households and female-headed households were five percentage points more likely to use the network at least once.
Key result figure Connecting Isolated Communities
Figure 8: Higher household wealth and education are positively correlated with increased celluar network activity.
Does Getting Health Insurance Affect Women's Fertility? Evidence from the United Mine Workers' Health Insurance System
with Theodore Figinski
American Economic Review Papers and Proceedings (2019)
We examine how health insurance affects women's fertility decisions by analyzing the United Mine Workers of America (UMWA) hospital insurance expansion beginning in 1950. The program provided comprehensive, zero-cost coverage for pregnancy-related hospital expenses and children's care to union miners' families in Appalachia. Using county-level vital statistics data from 1946-1955 and a trend break specification, we find that insurance coverage significantly reduced fertility rates. Counties with average insurance coverage experienced approximately 1 percent annual declines in births relative to counties with no coverage, totaling a 5 percent decrease over five years. These results provide new evidence for the "quality-quantity" trade-off in fertility: when insurance improves infant survival rates, parents choose to have fewer children since more are likely to survive to adulthood. Unlike previous studies examining temporary or incremental insurance expansions, this large-scale, largely permanent coverage expansion for childbearing women and their children reveals substantial effects on fertility.
Key result figure Health Insurance and Fertility
Figure 1: Health insurance intervention reversed trend of increasing fertility
Modest, Secure, and Informed: Successful Development in Conflict Zones
with Eli Berman, Joseph Felter, Jacob Shapiro
American Economic Review Papers and Proceedings (2013)
Key result figure MSI
Figure 1: Community aid spending is more violence-reducing as battalions per district increase.
↑ Back to top
Assessor Discretion and Property Assessment Inequality Across Jurisdictions
with Alex Combs and John Foster
Measuring Renters in Credit Data: Evidence from Linked Survey and Administrative Data
with Anna Tranfaglia
Intergenerational Wealth and Insurance
↑ Back to top
The Impact of Mobile Phones: Experimental Evidence from the Random Assignment of New Cell Towers
with Joshua Blumenstock, Niall Keleher, and Arman Rezaee
Funding from the Development Impact Lab and the Gates Foundation
↑ Back to top